1
009062
https://pratiche.comune.tovo-san-giacomo.sv.it/GisMasterWebS/SP/IsAut.ashx
https://pratiche.comune.tovo-san-giacomo.sv.it/GisMasterWebS/SP/LogoutSAML.ashx
https://comune.tovo-san-giacomo.sv.it
it

CARTA DEDICATA A TE 2025

Dettagli della notizia

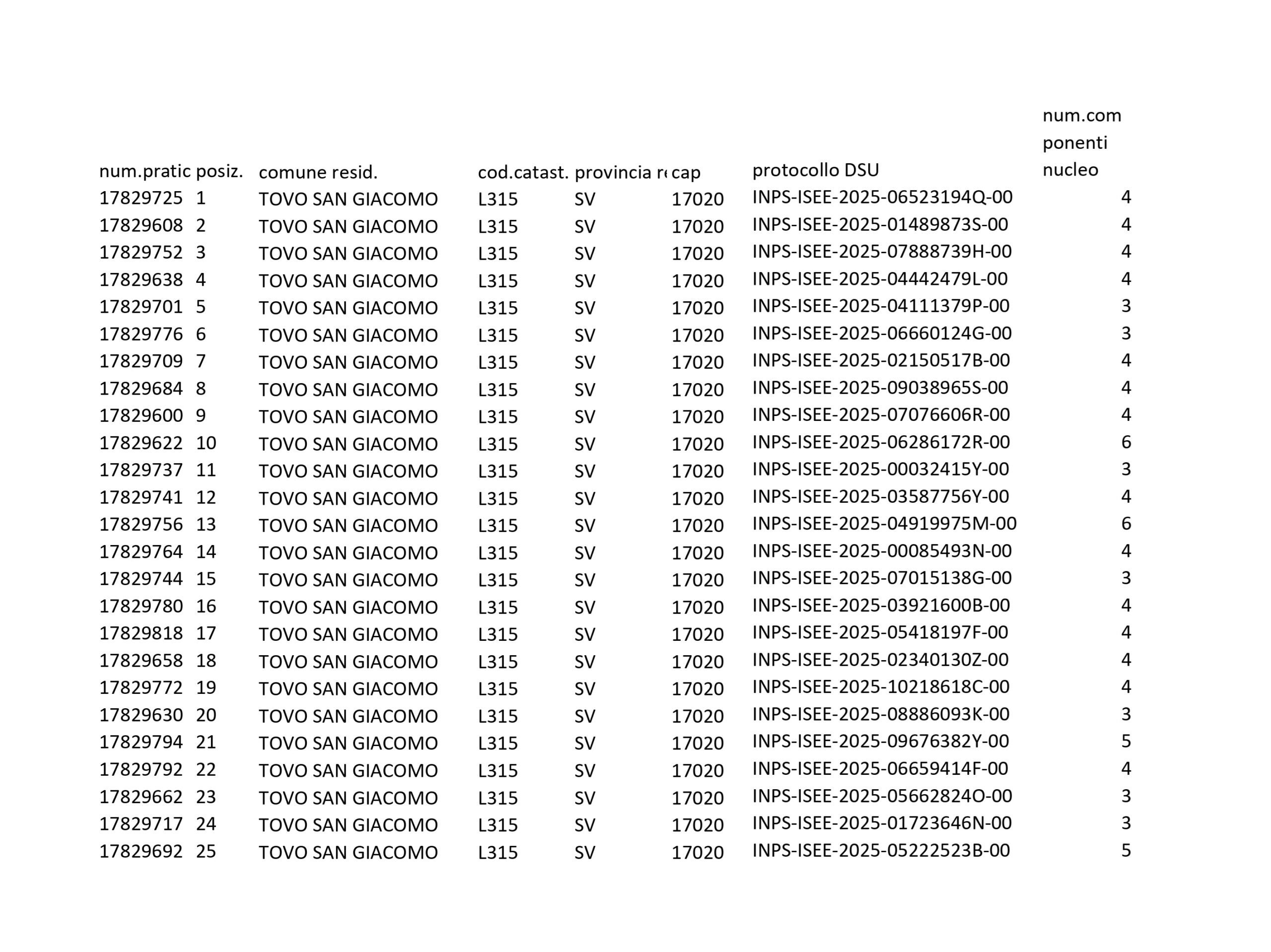
Elenco dei beneficiari della carta "Dedicata a te" 2025

Data:

20 Ottobre 2025

Tempo di lettura:

Descrizione

La Carta Dedicata a Te 2025 è una misura economica destinata ai nuclei familiari in difficoltà, finalizzata al sostegno delle spese alimentari. Si tratta di una carta prepagata PostePay, caricata con 500 euro una tantum, utilizzabile per l’acquisto di beni alimentari di prima necessità presso i negozi convenzionati in tutta Italia. Il beneficio è finanziato dal Governo e gestito operativamente da INPS e Poste Italiane, con il supporto dei Comuni che per l’invio delle comunicazioni ai beneficiari che sono  individuati automaticamente tra i nuclei familiari residenti in Italia e in possesso di un ISEE ordinario in corso di validità non superiore a 15.000 euro.
Restano esclusi i nuclei che percepiscono altre misure di inclusione o sostegno al reddito (Assegno di inclusione, Reddito di Cittadinanza, Carta acquisti, ecc.) di carattere nazionale, regionale o comunale, nonché prestazioni di disoccupazione o integrazione salariale.

I beneficiari riceveranno dal Comune di Tovo San Giacomo una comunicazione con sopra descritte le modalità di accesso e di utilizzo della carta.

Ultimo aggiornamento: 26/10/2025, 16:35

Quanto sono chiare le informazioni su questa pagina?

Grazie, il tuo parere ci aiuterà a migliorare il servizio!

Quali sono stati gli aspetti che hai preferito? 1/2

Dove hai incontrato le maggiori difficoltà?1/2

Vuoi aggiungere altri dettagli? 2/2

Inserire massimo 200 caratteri